28  Библиотека ggFishPlots: кривые роста, половозрелости, размерно-весовые соотношения

Это практическое занятие посвящено визуализации и расчетам некоторых параметров жизненного цикла гидробионтов с использованием небольшой библиотеки ggFishPlots, разработанной Микко Вихтакари из норвежского Института морских исследований. Пакет ggFishPlots для R позволяет быстро строить специализированные графики и рассчитывать параметры жизненного цикла, которые в последствии могут быть востребованы для моделей оценки запасов. Для построения графиков пакет использует ggplot2 , а для вычислений — пакеты tidyverse .

Самую актуальную версию пакета всегда можно найти на GitHub. Если версия CRAN не работает так, как показано в примерах на этом сайте, попробуйте установить версию GitHub. Это можно сделать с помощью пакетов devtools или remotes .

remotes::install_github("DeepWaterIMR/ggFishPlots")

У пакета есть веб-сайт. На момент написания статьи пакет создаёт четыре типа графиков: кривые роста, графики зрелости,графики зависимости длины от веса и кривые улова. Каждая функция возвращает график ggplot2 и оценочные параметры в виде текстовой строки, которую можно использовать в приложениях Rmarkdown и Shiny, а также фрейм данных для дальнейшего использования параметров. Элементы возвращаются в виде списка. Пакет содержит примеры данных для иллюстрации функциональности.

Скрипт целиком.

Кривые роста

Обратите внимание, что text и params возвращаются в виде списка вместе с plot.

library(ggFishPlots)

data(survey_ghl) # example data

head(survey_ghl)
#> # A tibble: 6 × 5
#>     age sex   length weight maturity
#>   <dbl> <chr>  <dbl>  <dbl>    <int>
#> 1    NA <NA>      35     NA        0
#> 2    NA <NA>      43     NA        0
#> 3    NA <NA>      51     NA        0
#> 4    NA <NA>      31     NA        0
#> 5    NA <NA>      32     NA        0
#> 6    NA <NA>      32     NA        0

plot_growth(survey_ghl, length = "length", age = "age")
#> $plot

#> 
#> $text
#> [1] "von Bertalanffy growth function coefficients:  \n Linf (asymptotic average length) = 91.2 cm +/- 88.3 - 94.6 (95% CIs)  \n K (growth rate coefficient) = 0.0633 +/- 0.059 - 0.068 (95% CIs)  \n t0 (age at length 0) = -3.04 (years) +/- -3.337 - -2.769 (95% CIs)  \n tmax (life span; t0 + 3/K) = 44.4 years  \n Number of included specimens = 10401  \n Total number of measured = 618779  \n Excluded (length or age missing):  \n Length = 0; age = 608378"
#> 
#> $params
#> # A tibble: 3 × 7
#>   term  estimate std.error statistic   p.value conf.low conf.high
#>   <chr>    <dbl>     <dbl>     <dbl>     <dbl>    <dbl>     <dbl>
#> 1 Sinf   91.2      1.51         60.3 0          88.3      94.6   
#> 2 K       0.0633   0.00231      27.4 4.90e-160   0.0586    0.0680
#> 3 t0     -3.04     0.139       -21.8 1.71e-103  -3.34     -2.77

Объект text можно отобразить в документах R markdown, используя results = ‘asis’ настройку в заголовке фрагмента кода (т. е. {r, results = ‘asis’}) и cat() функцию после замены “” на “\ n”:

  htmlcat <- function(text){
  cat(gsub(pattern = "\n", replacement = "  \n", x = text))
}

htmlcat(plot_growth(survey_ghl)$text)

Коэффициенты функции роста фон Берталанфи:

Linf (асимптотическая средняя длина) = 91,2 см +/- 88,3 - 94,6 (95% ДИ)

K (коэффициент скорости роста) = 0,0633 +/- 0,059 - 0,068 (95% ДИ)

t0 (возраст при длине 0) = -3,04 (лет) +/- -3,337 - -2,769 (95% ДИ)

tmax (продолжительность жизни; t0 + 3/K) = 44,4 года

Количество включенных особей = 10401

Общее количество измеренных = 618779

Исключено (длина или возраст отсутствуют): Длина = 0; возраст = 608378

Разделение по полу

Аргументы length, age и sex не указаны, поскольку они являются именами аргументов по умолчанию. Указание split.by.sex = TRUE возвращает разделение по полу.

plot_growth(survey_ghl, split.by.sex = TRUE)$plot

Пунктирные линии обозначают Linf. Данные, лежащие в основе кривых роста, по умолчанию отображаются в виде ящичных диаграмм. Можно отобразить данные в виде точек, задав boxplot = FALSE. Мы также можем принудительно ввести нулевую группу в кривые, если знаем её длину. Здесь предполагается 14 см. Сила воздействия нулевой группы по умолчанию составляет 10% от числа наблюдений и может быть скорректирована с помощью аргумента force.zero.group.strength.

plot_growth(survey_ghl, force.zero.group.length = 14, boxplot = FALSE)$plot

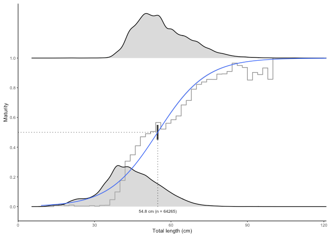
Графики половой зрелости 50%-ное половое созревание (L50) Логистическая функция с биномиальной структурой ошибок и логит-связью является стандартным способом оценки огив половой зрелости с использованием обобщенной линейной модели (family = binomial(link = “logit”)) glm()). Семейство биномиальных функций используется для бинарных результатов (зрелый/незрелый), а логит-функция связи по умолчанию линеаризует связь между объясняющей переменной (например, возрастом или длиной) и вероятностью зрелости, что позволяет подобрать S-образную огиву половой зрелости .

plot_maturity(survey_ghl, length = "length", maturity = "maturity")
#> $plot

#> 
#> $text
#> [1] "50% maturity at length (L50) based on logit regressions:\n54.784 cm. 95% confidence intervals: 52.852 - 56.787\n  Number of specimens: 64265.\n Confidence intervals estimated from the glm object."
#> 
#> $params
#>       mean   ci.min ci.max  sex intercept     slope     n
#> 1 54.78361 52.85249 56.787 both -5.755492 0.1050587 64265

Планки погрешностей представляют собой 95%-ные доверительные интервалы, рассчитанные для объекта модели с помощью функции confint() и преобразованные обратно в исходную шкалу. Серая ступенчатая линия — это среднее значение, определяемое с помощью аргумента length.bin.width. Функция plot_maturity также позволяет использовать бутстреп для доверительных интервалов (ДИ), что позволит получить более узкие ДИ. Бутстреп, вероятно, является более корректным способом оценки ДИ в данном приложении. Для экономии времени обработки, при апробации, можно использовать всего 10 реплик, тогда как для финальных расчетов необходимо использовать не менее 1000.

plot_maturity(survey_ghl, bootstrap.n = 10)
#> $plot

#> 
#> $text
#> [1] "50% maturity at length (L50) based on logit regressions:\n54.812 cm. 95% confidence intervals: 54.584 - 54.924\n  Number of specimens: 64265\n\n Confidence intervals estimated using 10 bootstrap replicates."
#> 
#> $params
#>       mean   ci.min   ci.max  sex intercept     slope     n
#> 1 54.81204 54.58416 54.92397 both -5.755492 0.1050587 64265

Разделение по полу

plot_maturity(survey_ghl, split.by.sex = TRUE)$plot

Тот же принцип можно использовать для создания графических зависимостей половозрелости от возраста (возраст 50%-ного полового созревания):

  plot_maturity(survey_ghl, length = "age", length.unit = "years",
              xlab = "Age", length.bin.width = 1, split.by.sex = TRUE)$plot

Функция plot_maturity() также позволяет добавлять молодь (нулевую группу рыб). Добавление молоди может потребоваться для достижения glm() сходимости, если в наборе данных мало мелких неполовозрелых рыб.

plot_maturity(survey_ghl, length = "age", length.unit = "years",
              xlab = "Age", length.bin.width = 1, 
              force.zero.group.length = 0,
              force.zero.group.strength = 100,
              split.by.sex = TRUE)$plot

Соотношение длины и веса

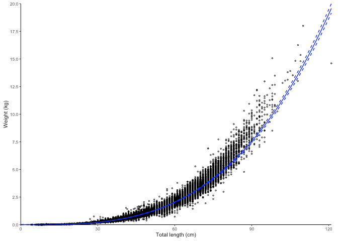
В библиотеке ggFishPlots два способа визуализации соотношения длина-вес. Это простой график с использованием логарифмического преобразования и линейных моделей по умолчанию.

plot_lw(survey_ghl, length = "length", weight = "weight")
#> $plot

#> 
#> $text
#> [1] "Logarithm transformed linear length-weight model. Not splitted by sex:  \n a = 3.8236e-06 +/- 3.7869e-06 - 3.8606e-06 (95% CIs).  \n b = 3.221 +/- 3.22 - 3.22 (95% CIs).  \n Length in cm and weight in kg  \n Number of included specimens = 67457  \n Total number of measured = 618779  \n Excluded (data missing): \n Length = 0; weight = 551322; outlier = 0"
#> 
#> $params
#> # A tibble: 2 × 14
#>   term    estimate std.error statistic p.value   conf.low  conf.high r.squared
#>   <chr>      <dbl>     <dbl>     <dbl>   <dbl>      <dbl>      <dbl>     <dbl>
#> 1 a     0.00000382   0.00491    -2540.       0 0.00000379 0.00000386     0.989
#> 2 b     3.22         0.00128     2519.       0 3.22       3.22           0.989
#> # ℹ 6 more variables: AIC <dbl>, nobs <int>, length <chr>, length.unit <chr>,
#> #   weight <chr>, weight.unit <chr>

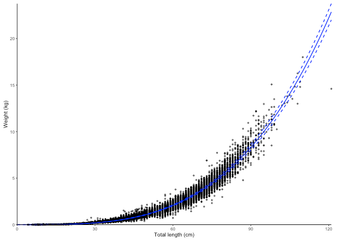
Пунктирные линии представляют собой 95%-ные доверительные интервалы. Второй способ — это нелинейный метод наименьших квадратов:

  plot_lw(survey_ghl, use.nls = TRUE)
#> $plot

#> 
#> $text
#> [1] "Nonlinear least squares length-weight model. Not splitted by sex:  \n a = 1.7268e-06 +/- 1.6962e-06 - 1.758e-06 (95% CIs).  \n b = 3.419 +/- 3.42 - 3.42 (95% CIs).  \n Length in cm and weight in kg  \n Number of included specimens = 67457  \n Total number of measured = 618779  \n Excluded (data missing): \n Length = 0; weight = 551322; outlier = 0"
#> 
#> $params
#> # A tibble: 2 × 13
#>   term    estimate  std.error statistic p.value conf.low conf.high     AIC  nobs
#>   <chr>      <dbl>      <dbl>     <dbl>   <dbl>    <dbl>     <dbl>   <dbl> <int>
#> 1 a     0.00000173    1.56e-8      110.       0  1.70e-6   1.76e-6 -27925. 67457
#> 2 b     3.42          2.15e-3     1590.       0  3.42e+0   3.42e+0 -27925. 67457
#> # ℹ 4 more variables: length <chr>, length.unit <chr>, weight <chr>,
#> #   weight.unit <chr>

Положение десятичной точки в оценках a и b зависит от единиц измерения длины и веса. FishBase использует сантиметры и граммы. Функция может корректировать единицы измерения по запросу (но параметры length.unit и weight.unit должны быть заданы корректно). Разделение по полу соотношения длина-вес представлено внизу.

plot_lw(survey_ghl, split.by.sex = TRUE, correct.units = TRUE)
#> $plot

#> 
#> $text
#> [1] "Logarithm transformed linear length-weight model for females and males, respectively:  \n a = 0.0035 +/- 0.00344 - 0.00355 (95% CIs) and 0.00507 +/- 0.00497 - 0.00517 (95% CIs).  \n b = 3.247 +/- 3.24 - 3.25 (95% CIs) and 3.143 +/- 3.14 - 3.15 (95% CIs).  \n Length in cm and weight in g  \n Number of included specimens = 34889 and 30354  \n Total number of measured = 618779  \n Excluded (data missing): \n Length = 0; weight = 456891; sex = 96645; outlier = 0"
#> 
#> $params
#> # A tibble: 4 × 15
#> # Groups:   sex [2]
#>   sex   term  estimate std.error statistic p.value conf.low conf.high r.squared
#>   <chr> <chr>    <dbl>     <dbl>     <dbl>   <dbl>    <dbl>     <dbl>     <dbl>
#> 1 F     a      0.00350   0.00765     -739.       0  0.00344   0.00355     0.988
#> 2 F     b      3.25      0.00195     1666.       0  3.24      3.25        0.988
#> 3 M     a      0.00507   0.0101      -525.       0  0.00497   0.00517     0.979
#> 4 M     b      3.14      0.00265     1188.       0  3.14      3.15        0.979
#> # ℹ 6 more variables: AIC <dbl>, nobs <int>, length <chr>, length.unit <chr>,
#> #   weight <chr>, weight.unit <chr>

Вы также можете преобразовать параметры согласно формулам, приведенным в FishBase.

plot_lw(survey_ghl %>% dplyr::mutate(weight = weight*1000), weight.unit = "g")$params
#> # A tibble: 2 × 14
#>   term  estimate std.error statistic p.value conf.low conf.high r.squared
#>   <chr>    <dbl>     <dbl>     <dbl>   <dbl>    <dbl>     <dbl>     <dbl>
#> 1 a      0.00382   0.00491    -1133.       0  0.00379   0.00386     0.989
#> 2 b      3.22      0.00128     2519.       0  3.22      3.22        0.989
#> # ℹ 6 more variables: AIC <dbl>, nobs <int>, length <chr>, length.unit <chr>,
#> #   weight <chr>, weight.unit <chr>

График с логарифмической осью для просмотра различий

plot_lw(survey_ghl, split.by.sex = TRUE, log.axes = TRUE)$plot

В функции plot_lw предусмотрено также удаление выбросов

plot_lw(survey_ghl, outlier.percentile = 99.5, annotate.coefficients = TRUE)$plot

Цитаты и источники данных

Данные, использованные в пакете, являются собственностью Института морских исследований и правительства Норвегии. Они распространяются по лицензиям Creative Commons (CCBY или NLOD), допускающим свободное использование при условии указания источника (IMR). Мы просим всех пользователей ссылаться на пакет, если графики или оценки используются в отчётах или научных статьях. Актуальную информацию о цитировании см. по адресу:

citation("ggFishPlots")
#> To cite package 'ggFishPlots' in publications use:
#> 
#>   Vihtakari M (2024). _ggFishPlots: Visualise and Calculate Life
#>   History Parameters for Fisheries Science using 'ggplot2'_. R package
#>   version 0.3.0, <https://deepwaterimr.github.io/ggFishPlots/>.
#> 
#> A BibTeX entry for LaTeX users is
#> 
#>   @Manual{,
#>     title = {ggFishPlots: Visualise and Calculate Life History Parameters for Fisheries Science using 'ggplot2'},
#>     author = {Mikko Vihtakari},
#>     year = {2024},
#>     note = {R package version 0.3.0},
#>     url = {https://deepwaterimr.github.io/ggFishPlots/},
#>   }

Вклады

Любой вклад в разработку пакета будет приветствоваться. Свяжитесь с ответственным за пакет Микко Вихтакари ( mikko.vihtakari@hi.no ), чтобы обсудить ваши идеи по его улучшению. Сообщения об ошибках и исправления следует отправлять непосредственно на сайт GitHub. Пожалуйста, приложите минимальный воспроизводимый пример. Значительный вклад в разработку пакета будет отмечен указанием автора.